Below are the updated season forecasts using data from games through July 16, 2017.
With only U.S. Open Cup matches entering the model, not a ton has changed. However, some updates have been made.
Power Rankings
The “Power Rankings” we concoct are the “strength” of the team according to its competitive expectations. They are computed by forecasting the expected points (3 x win probability + 1 x draw probability) against every other MLS team – both home and away – and taking the average per team.
SEBA has the Union remaining at 8th.

For those interested in how Philadelphia’s matches are weighted in the model (especially if skeptical about why SEBA’s rankings can be different from other outlets):

‘wght’ is the actual weight value used in the model, which is a combination of the ‘timewght’ (how long ago the match occurred), ‘goalWght’ (how much luck could have influenced the match result, as indicated by the goal differential), and ‘rostWght’ (how similar the roster deployments for both teams were compared with current trends).
For comparison, the current roster expectations for maximum weight for the Union are currently:


The following shows the evolution of SEBA’s power rankings for the MLS Eastern Conference over time:
Playoffs probability and more
Philadelphia’s playoffs odds have decreased from 22.5% to 21.6%.

The following shows the simulation distribution for the points earned by the sixth place MLS East club as well as the simulation distribution of points that Philadelphia is expected to earn.
Tiebreakers aside, the Union make the playoffs when >= this MLS-East-6th value.
The most common number of points required to make the playoffs in the East’s 6th slot remains at 48 while the most common number of points simulated for the Union remains at 43.

Philadelphia’s odds to win the Supporters’ Shield remain at practically 0%.

In part, clubs that score a lot of goals are given an advantage in MLS Cup due to the two leg aggregate goal format of the conference semi-finals and conference finals. This gives those clubs a better chance at banking large victories which carry over.
The Union’s chances of winning the MLS Cup remain at 0.5%.

In the U.S. Open Cup, poor teams with a higher propensity to earn a draw are given an advantage as they are more likely to reach penalty kicks, which are a complete tossup. Conversely, good teams with a higher propensity to earn a draw have a disadvantage for the same reason.
This includes the draw for all remaining rounds.

Philadelphia’s chances for qualifying in 2017 for the 2019 edition of the CONCACAF Champions League remain at 0.5%.

Over time, we can see how Philadelphia’s odds for different prizes have changed.

The following are probabilities for each category of outcomes for Philadelphia:

The following shows the probability of each post-playoff ranking finish.

The following shows the summary of the simulations in an easy table format.


Next, we show how the Remaining Strength of Schedule affects each team.
The “Points Percentage Advantage” shown on the X-axis represents the percentage of points expected over the league average schedule. This “points expected” value is generated by simulating how all teams would perform with all remaining schedules (and therefore judges a schedule based upon how all teams would perform in that scenario).
In short, the higher the value, the easier the remaining schedule.
Despite other reports suggesting that the Union have the hardest schedule, this models says that Colorado has a harder remaining schedule due to their four extra away matches than home matches.

Accompanying the advantage percentage in the following table is their current standings rank (right now ties are not properly calculated beyond pts/gd/gf; I may fix that, but maybe not for a while), the remaining home matches, the remaining away matches, the current average points-per-game of future opponents (results-based, not model-based), and the average power ranking of future opponents according to SEBA.

The following shows the expectations for upcoming Philadelphia matches:

Model Validation
The following shows the degree of error by the model vs the error if the model was purely random without intelligence. The x-axis is based on the date from which the forecast was made (this will update throughout the season as more results are finalized and compared with predictions). The ordinal squared error metric (not a traditional metric) is calculated as:
(ProbW – ActW)^2 + (ProbT – ActT)^2 + (ProbL – ActL)^2 +
((ProbW + ProbT) – (ActW + ActT))^2 +
((ProbL + ProbT) – (ActL + ActT))^2
where Prob[W/T/L] is the model’s probability of resulting outcomes and Act[W/T/L] is a 1 or 0 representation of whether it actually happened.
Random errors will decline when more ties occur as there is a less severe penalty for ties.
We should expect random errors to remain relatively constant over time, where our model’s errors will hopefully decline as the season goes on as it gathers new information.
These data points are not fixed until the end of the season due to additional matches adding to them.

USL
Power Rankings
SEBA has the Bethlehem Steel remaining at 9th while Harrisburg City increased from 23rd to 20th.

The following shows the evolution of SEBA’s power rankings for the USL East over time.

Playoffs probability and more
Bethlehem’s playoff odds have decreased from 91.1% to 86.5% and Harrisburg City’s odds of making the playoffs have increased from 19.8% to 36.9%.


Bethlehem’s odds at becoming the USL Champion have decreased from 3.4% to 2.4% while Harrisburg City’s increased from 0.3% to 0.5%:

The USOC odds for USL clubs alone are as follows. FC Cincinnati is the lone remaining USL club.

Over time, we can see how the odds for different prizes change for Bethlehem and Harrisburg.


The following are probabilities for each category of outcomes for Bethlehem.

The following are probabilities for each category of outcomes for Harrisburg City:

The following shows the probability of each post-playoff ranking finish:


The following shows the summary of simulations in an easy table format.


We can also show how the Remaining Strength of Schedule affects each team.
The “Points Percentage Advantage” shown on the X-axis represents the percentage of points expected over the league average schedule. This “points expected” value is generated by simulating how all teams would perform with all remaining schedules (and therefore judges a schedule based upon how all teams would perform in that scenario).
In short, the higher the value, the easier the remaining schedule.
Remaining home field advantage will make a large contribution here. It can also be true that a better team has an ‘easier’ schedule simply because they do not have to play themselves. Likewise, a bad team may have a ‘harder’ schedule because they also do not play themselves.
The table following the chart also shares helpful context with these percentages.

Accompanying the advantage percentage in the following table is their current standings rank (right now ties are not properly calculated beyond pts/gd/gf), the remaining home matches, the remaining away matches, the current average points-per-game of future opponents (results-based, not model-based), and the average power ranking of future opponents according to SEBA.

The following shows the expectations for upcoming matches for both Bethlehem and Harrisburg:


Model Validation
This chart is the same as that in the MLS forecast (except for USL matches instead of MLS).
Remember that these data points are not fixed until the end of the season.

NWSL
Power Rankings

Playoffs probability and more




The following shows the summary of the simulations in an easy table format.


As a new feature, we can also show how the Remaining Strength of Schedule affects each team.
The “Points Percentage Advantage” shown on the X-axis represents the percentage of points expected over the league average schedule. This “points expected” value is generated by simulating how all teams would perform with all remaining schedules (and therefore judges a schedule based upon how all teams would perform in that scenario).
In short, the higher the value, the easier the remaining schedule.
It can also be true that a better team has an ‘easier’ schedule simply because they do not have to play themselves. Likewise, a bad team may have a ‘harder’ schedule because they also do not play themselves.
The table following the chart also shares helpful context with these percentages:

Accompanying the advantage percentage in the following table is their current standings rank (right now ties are not properly calculated beyond pts/gd/gf), the remaining home matches, the remaining away matches, the current average points-per-game of future opponents (results-based, not model-based), and the average power ranking of future opponents according to SEBA.

Gold Cup
The following shows the Gold Cup champion forecast. The USA’s odds of winning the Gold Cup have increased from 29.69% to 34.17%.


The following shows the probabilities of teams advancing through the quarterfinal. The USA increased their chances from 67.57% to 82.98% for advancing through the quarterfinal.


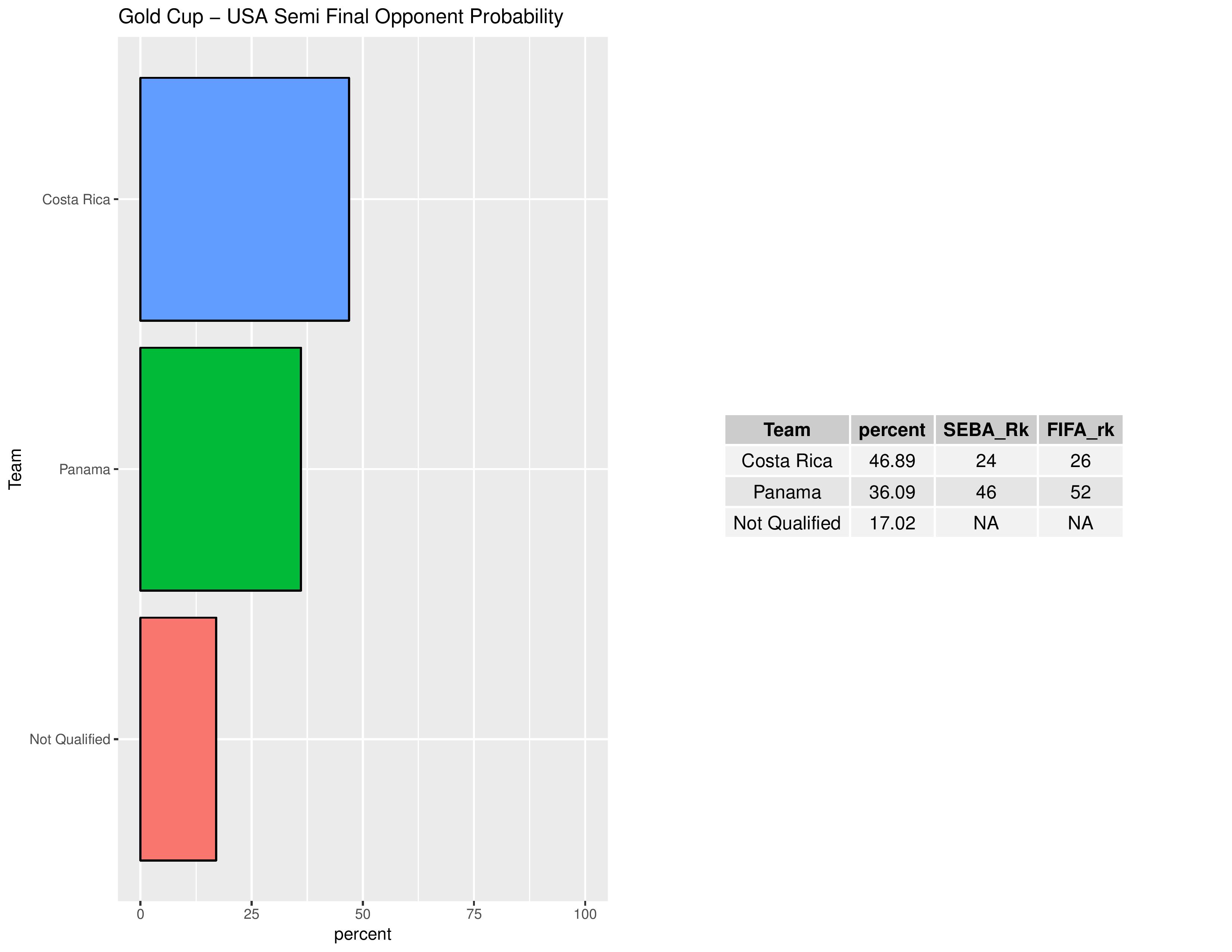
The following shows the probabilities of the USA’s semifinal opponent.

The following shows the probabilities of each team advancing through the semifinal. The USA has increased from 45.34% to 53.81% in chances of advancing through the semifinal.


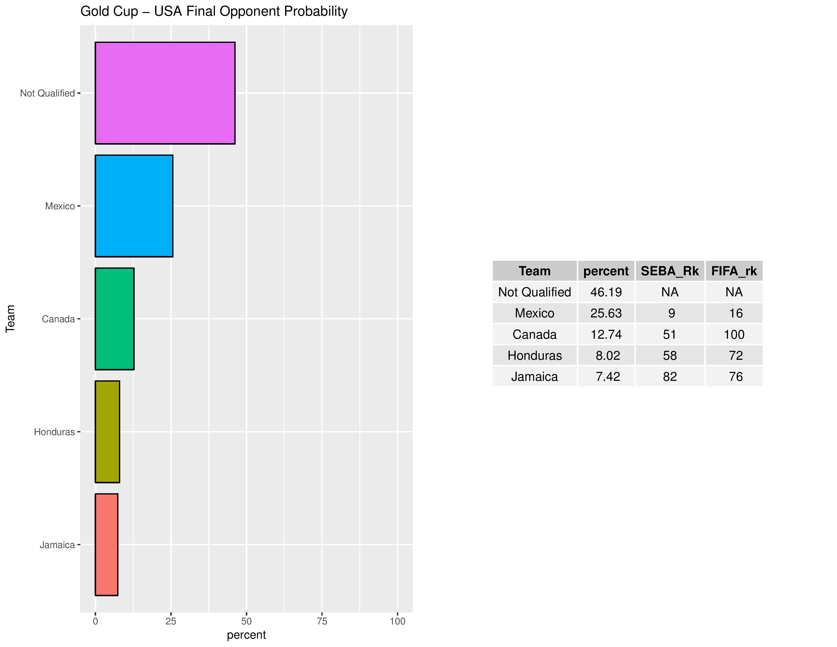
The following shows the probabilities of USA’s final opponent.

The SEBA Projection System is an acronym for a tortured collection of words in the Statistical Extrapolation Bayesian Analyzer Projection System. Check out the first season’s post to find out how it works (https://sandbox.phillysoccerpage.net/2017/03/03/2017-initial-seba-projections/)



